SAT的数学考试对于中国学生而言十分简单,甚至把勾股定理,怎么求三角形的面积和周长也印在卷子上,怕学生忘记而不会答题。对我们中国学生而言,只需要有国内初中水平的数学底子,认真复习一下,考一个不错的分数还是较为容易的。不过对于喜欢探索数学的同学而言,未免有点扫兴,感觉只是展现了数学的皮毛,不甚畅快。下面大家就来一起探索一下勾股定理,体验数学的趣味吧。
a,b,c分别代表直角三角形的勾、股、弦三边之长
(a^2)+(b^2)=(C^2)
其变形b^2=c^2-a^2=(c-a)(c+a)
a^2=c^2-b^2=(c-b)(c+b),
c^2=2ab+(b-a)^2
勾股定理
命题1 如果直角三角形的两条直角边长分别为a,b,斜边长为c,那么a^2+b^2=c^2
勾股定理的逆定理
命题2 如果三角形的三边长a,b,c满足a^2+b^2=c^2,那么这个三角形是直角三角形。
关于勾股定理,如何证明呢?

一、传说中毕达哥拉斯的证法(图1)
左边的正方形是由1个边长为a 的正方形和1个边长为b 的正方形以及4个直角边分别为 a、b ,斜边为 c的直角三角形拼成的。右边的正方形是由1个边长为c 的正方形和4个直角边分别为 a、b ,斜边为 c的直角三角形拼成的。因为这两个正方形的面积相等(边长都是a+b ),所以可以列出等式
化简得
。
在西方,人们认为是毕达哥拉斯最早发现并证明这一定理的,但遗憾的是,他的证明方法已经失传,这是传说中的证明方法,这种证明方法简单、直观、易懂。
二、赵爽弦图的证法(图2)
种方法:边长为 的正方形可以看作是由4个直角边分别为 a、 c,斜边为 c的直角三角形围在外面形成的。因为边长为 的正方形面积加上4个直角三角形的面积等于外围正方形的面积,所以可以列出等式
,化简得
。
第二种方法:边长为 的正方形可以看作是由4个直角边分别为a 、b ,斜边为 的c直角三角形拼接形成的(虚线表示),不过中间缺出一个边长为(b-a) 的正方形“小洞”。
因为边长为 的正方形面积等于4个直角三角形的面积加上正方形“小洞”的面积,所以可以列出等式
,化简得
。
这种证明方法很简明,很直观,它表现了我国古代数学家赵爽高超的证题思想和对数学的钻研精神,是我们中华民族的骄傲。
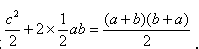
三、美国第20任总统茄菲尔德的证法(图3)
这个直角梯形是由2个直角边分别为 a、b ,斜边为c的直角三角形和1个直角边为c的等腰直角三角形拼成的。因为3个直角三角形的面积之和等于梯形的面积,所以可以列出等式
化简得
。
这种证明方法由于用了梯形面积公式和三角形面积公式,从而使证明更加简洁,它在数学史上被传为佳话。
以上就是给大家整理的探索勾股定理,你明白了吗?
相关阅读: